Unidad de montaje de diodo dedicado, diodo de vacío ideal montado independientemente con escudo de seguridad acrílico transparente permite una observación clara del funcionamiento del diodo mientras que protege los componentes de vidrio. Socket presenta un diagrama esquemático marcado para una mejor comprensión conceptual
Módulo de medición de corriente de ánodo preciso: el módulo de medición de corriente de ánodo utiliza un amplificador de corriente de microamplificador y un medidor de pantalla digital de cuatro y medio, con un rango de medición de hasta 0,1 uA ~ 20mA, que puede medir la corriente débil del ánodo con precisión, fina y estable.
Módulo de salida de voltaje de ánodo estable: la salida de voltaje del ánodo utiliza una fuente de alimentación lineal, y la amplitud de salida alcanza 0 ~ 160,0 V, que puede proporcionar el voltaje del ánodo del diodo de vacío de manera estable y eficiente.
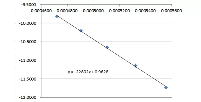
Experimento de medición de la función de trabajo eléctrico de metal (función de trabajo).
Aprenda métodos experimentales básicos como el método de medición de línea recta de Richardson, el método de medición de Epitaxia y la medición de compensación.
No. | Parte | Especificaciones |
1 | Aparato de experimento de función de trabajo eléctrico de metal | Módulo de voltaje del ánodo: rango de voltaje ajustable de 0 a 160VDC Módulo de corriente del ánodo: El rango de medición es de 0 a 20mA Módulo de corriente de filamento: Rango ajustable de 0 a 800mA |
2 | Caja de diodo de vacío ideal | Material del filamento: tungsteno puro Ánodo material: Níquel Filamento actual: 0,50-0,80 A |
No. | Parte | Modelo | Cantidad |
1 | Aparato de función de trabajo de electrones de metal | BEM-5715 | 1 |
2 | Conjunto de diodo de vacío ideal | BEM-5716 | 1 |
3 | Plomo Banana rojo 4mm, Rojo | BC-105084 | 2 |
4 | 4mm Plomo Rojo, negro | BC-105083 | 2 |
5 | Plomo Negro 4mm (revestido), negro | BC-105073 | 1 |
6 | Plomo Negro 4mm (enfundado), Rojo | BC-105074 | 1 |
7 | Cable de alimentación | BC-105075 | 1 |
8 | Cable de extensión DIN de 8 pines | BC-105077 | 2 |
Software de adquisición de datos Capstone UI-5400
UI-5000 850 interfaz universal
PS-3211 sensor de voltaje inalámbrico (2 unidades)
